500 bin sosyal konut projesi için başvurular bugün itibariyle başlarken TOKİ arsa müzayedesi düzenleyeceğini duyurdu. Aralarında başkent Ankara'nın da yer aldığı 27 ilde 188 arsayı açık arttırma yöntemi ile satacağını duyurdu.
TOKİ'DEN ARSA SATIŞ MÜZAYADESİ: 27 İLDE 188 ARSA SATILACAK!
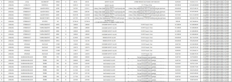
Çevre, Şehircilik ve İklim Değişikliği Bakanlığı, Toplu Konut İdaresi Başkanlığı (TOKİ), 27 İlde 188 arsayı 26 Kasım 2025 tarihinde açık artırma yöntemiyle satacak. Ayrıca İzmir ve Malatya’da 2 muhtelif arsa açık artırma yöntemi ile kiralanacak.
Muhammen bedeli 12 milyar 460 milyon 371 bin 101 lira olan toplam 2 milyon 72 bin 893 metrekare büyüklüğündeki Aksaray, Ankara, Antalya, Aydın, Balıkesir, Batman, Bitlis, Diyarbakır, Elazığ, Eskişehir, Giresun, İstanbul, İzmir, Karaman, Kayseri, Kocaeli, Konya, Kütahya, Malatya, Manisa, Mardin, Mersin, Niğde, Osmaniye, Şanlıurfa, Tekirdağ, Uşak ve Van’da bulunan 188 arsa açık artırmayla satılacak.



Arsaların satılacağı açık artırma 26 Kasım 2025 tarihi itibariyle başlayacak. Saat 10:30'da başlayacak olan açık artırma Ankara Bilkent Otel'in yanı sıra internet üzerinden de katılıma açık olacak.