Öğrencilerin toplu ulaşımda yaşamış olduğu sorunları aşmak adına devreye giren EGO, 474 AYBÜ -Saray- Ulus- 15 Temmuz Kızılay Milli İrade Meydanı hattını devreye almıştı. Hatta yaşanan yoğunluk nedeniyle yeni sefer düzenlemesine gidildiği duyuruldu.
EGO'DAN YENİ SEFER DÜZENLEMESİ!
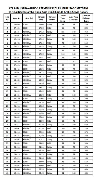
EGO tarafından yapılan açıklamada "474 AYBÜ -Saray- Ulus- 15 Temmuz Kızılay Milli İrade Meydanı hat numaralı güzergahımızda 1 Ekim 2025 Çarşamba günü itibarıyla;
• Saat: 06.15 olan ilk hareket saati 06:00 olarak düzenlenmiştir.
• Sabah saat: 06.00-07.00 aralığında 15 dakikada bir hareket eden servisler 10 dakikada bir hareket edecek şekilde yeniden düzenlenerek 2 adet ilave servis artışına gidilmiştir.
• Saat: 14.00-17.00 aralığında 15 dakikada bir hareket eden servisler 10 -12 dakikada bir hareket edecek şekilde yeniden düzenlenerek 2 adet ilave servis artışına gidilmiştir.
• Saat: 20.30-22.00 aralığında hareket eden servisler 15 dakikada bir hareket edecek şekilde yeniden düzenlenerek 1 adet ilave servis artışına gidilmiştir.
Kuruluşumuz EGO Genel Müdürlüğünce geçmişte olduğu gibi bugün de öğrencilerimizin ulaşımlarında herhangi bir aksamaya sebebiyet verilmemesi için gerekli önlemler alınarak uygun servis planlamaları yapılmaktadır." ifadelerine yer verildi.

Yapılan yeni düzenleme sonrasında hatta ilk sefer saati 15 dakika erkene çekilirken, sefer aralıkları da sıkılaştırıldı. Seferlerde yapılan düzenlemenin ardından hatta yaşanan yoğunluğun azaltılması amaçlanıyor.